According to Albert Einstein, “compound interest is the eighth wonder of the world. He who understands it, earns it … he who doesn’t … pays it.” So, what exactly makes compound interest so powerful, and why should you care? Compound interest is often used in examples dealing with: car loans, mortgages, and other endeavors where the other party profits. Maybe that is why so many of us overlooked it as nothing more than trivial in high school. But, let’s turn the tables around and use it in an example where we actually stand to profit from this natural phenomenon.
To start, the compound interest equation is defined as:

Where,
A = Final Value
P = Principal or Starting Value
r = Interest Rate
n = Number of times compounding occurs in a given year
t = Number of years to compound
As everyone is most aware, bank interest rates these days are -> 0%. An ING Direct Savings Account pays more than most, and even that is only yielding at 0.80% APY (as of 2/12/12).
APY is defined as: Annual Percentage Yield, also known as effective annual rate (EAR). This represents the normalized interest rate based on one year of compounding.
The formula is shown below:

The interest rate can be derived by reworking the above equation:

The interest rate is thus:

Plugging in APY = 0.8% and n = 365 (U.S. banks typically compound daily) gives us the following:

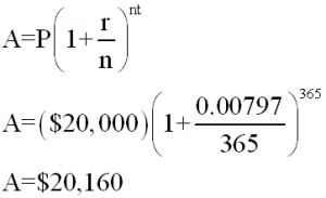
Now that we have the interest rate, we can plug it into the compound interest equation. In this example, let’s assume a principal of $20,000. For t = 1 year, we get:

After one year, our principal of $20,000 has now increased to $20,160. We can double check the math to make sure the 1 year yield matches:

The numbers match. Now let us suppose we keep the same 0.8% annual yield and compound over a longer period of time. Let’s track the growth of our initial principal.
First, since we know the APY = 0.8%, let’s continue using this number to make our lives easier. If we set n = 1, the interest rate = APY:

The compound interest equation thus becomes:

Now, let us track the results over t = 20 years:
| Principal | $20,000.00 | |
| Annual Yield | 0.800% | |
| n | 1.00 | |
| t | Accumulated Interest | End of Year Value |
| 1 | $160.00 | $20,160.00 |
| 2 | $321.28 | $20,321.28 |
| 3 | $483.85 | $20,483.85 |
| 4 | $647.72 | $20,647.72 |
| 5 | $812.90 | $20,812.90 |
| 6 | $979.41 | $20,979.41 |
| 7 | $1,147.24 | $21,147.24 |
| 8 | $1,316.42 | $21,316.42 |
| 9 | $1,486.95 | $21,486.95 |
| 10 | $1,658.85 | $21,658.85 |
| 11 | $1,832.12 | $21,832.12 |
| 12 | $2,006.77 | $22,006.77 |
| 13 | $2,182.83 | $22,182.83 |
| 14 | $2,360.29 | $22,360.29 |
| 15 | $2,539.17 | $22,539.17 |
| 16 | $2,719.49 | $22,719.49 |
| 17 | $2,901.24 | $22,901.24 |
| 18 | $3,084.45 | $23,084.45 |
| 19 | $3,269.13 | $23,269.13 |
| 20 | $3,455.28 | $23,455.28 |
After 20 long years, our account has grown from $20,000 to $23,455.28. At 0.8% annual yield, the final % growth is:

This might not seem like much after 20 years, and it really isn’t. If r is adjusted from r= 0.8% to r = 3% annual yield, the final value reaches $36,122.22. An increase of 80.61% from the original investment. If r = 10% annually (a very optimistic yield in today’s market), the final value reaches $134,550. A staggering growth of 572.75% from our initial $20,000. Now that’s compound interest working hard for you!
Hopefully the above examples illustrate how powerful compound interest is and why we should work hard to utilize it in our investment plans. The following chart will also demonstrate the profound effects compounding has over different rates and time:




[…] everybody knows about the powers of compound interest. In a nutshell, you simply buy shares of quality companies, re-invest the dividends, and watch the […]